موتور گیربکس، ترکیبی از موتور الکتریکی و گیربکس است که برای انتقال قدرت با سرعت و گشتاور مناسب طراحی شده و در صنایع مختلف برای افزایش کارایی و کاهش اندازه و هزینهها استفاده میشود. این مجموعه، با بهرهگیری از تکنولوژیهای پیشرفته، قادر است قدرت و سرعت مطلوب را در فرآیندهای صنعتی و ماشینآلات فراهم کند. اگر به دنبال یک راهحل کارآمد برای بهبود عملکرد تجهیزات خود با کنترل دقیق سرعت و گشتاور هستید، همین حالا برای مشاوره و خرید موتور گیربکس با کیفیت اقدام کنید و از کارایی بالای آن بهرهمند شوید.
021‑91304300
نیاز به راهنمایی دارید؟
برای دریافت مشاوره تخصصی و بهترین پیشنهادات خرید، با کارشناسان مجرب ما در کالاصنعتی بگیرید.
استفاده از یک دستگاه موتور گیربکس دار یا دینام گیربکس سرهم شده، یکی از دغدغههای مهم صنعتگران برای انتخاب موتور و گیربکس متناسب را برطرف میکند. در دستگاههای صنعتی برای افزایش گشتاور خروجی الکتروموتور از طریق کاهش سرعت آن، نیازمند استفاده از گیربکس صنعتی هستیم. در بسیاری از موارد که این دو تجهیز، جداگانه خریداری شدهاند، آنها را به طور مستقیم (با فلنج)، با کوپلینگ و یا با استفاده از تسمه و پولی به هم متصل میکنند. این روشهای اتصال گرچه به تجربه و دانش فنی نیاز دارند، اما باز هم روشهای بهینهای به شمار نمیروند.
در عوض انتخاب الکتروموتور گیربکس دار کار را آسانتر میکند، چرا که نیازی به صرف وقت و بررسی حجم زیادی از مشخصات فنی نخواهد بود. همچنین به علت مطابقت کامل الکتروموتور و گیربکس در الکتروگیربکس، طراحی دقیق و بهینه چرخدندهها و عدم نیاز به تراز کردن و کوپلینگ، انتقال گشتاور و دور با راندمان بیشتری انجام میشود. استفاده از موتور گیربکس دار صنعتی مزایای دیگری نیز دارد که در ادامه به آن میپردازیم.

جدول لیست قیمت موتور گیربکس سه فاز و تک فاز (آپدیت امروز)
توجه: این جدول شامل همه محصولات نیست و تنها شامل قیمت برخی از محصولات پرطرفدار است. برای مشاهده همه محصولات و یا محصول مد نظر خود، به لیست محصولات بالای صفحه مراجعه نمایید.
| برند |
نوع شافت |
توان (اسب بخار) |
توان (کیلووات) |
قیمت (تومان) |
| شریف |
هلیکال مستقیم |
۰.۵ اسب |
۰.۳۷ کیلووات |
۲۱,۳۵۱,۰۰۰ |
| شاکرین |
مستقیم |
۰.۷۵ اسب |
۰.۵۵ کیلووات |
۲۵,۹۴۴,۳۹۰ |
| شریف |
هلیکال مستقیم |
۱ اسب |
۰.۷۵ کیلووات |
۲۴,۳۶۳,۳۵۰ |
| شاکرین |
مستقیم |
۱ اسب |
۰.۷۵ کیلووات |
۲۶,۶۶۳,۳۵۰ |
| شریف |
هلیکال مستقیم |
۱.۵ اسب |
۱.۱ کیلووات |
۳۰,۵۷۶,۹۲۰ |
| شاکرین |
مستقیم |
۱.۵ اسب |
۱.۱ کیلووات |
۳۵,۳۹۶,۹۲۰ |
| پولادین پارت |
هلیکال مستقیم |
۲ اسب |
سری G |
۱۹,۶۴۸,۰۰۰ |
| شریف |
هلیکال مستقیم |
۲ اسب |
۱.۵ کیلووات |
۳۲,۲۲۲,۷۹۵ |
| شاکرین |
مستقیم |
۲ اسب |
۱.۵ کیلووات |
۳۷,۰۴۲,۷۹۵ |
| شریف |
هلیکال مستقیم |
۳ اسب |
۲.۲ کیلووات |
۳۵,۶۶۹,۲۰۵ |
| شاکرین |
مستقیم |
۳ اسب |
۲.۲ کیلووات |
۵۲,۳۸۹,۲۰۵ |
| شریف |
هلیکال مستقیم |
۴ اسب |
۳ کیلووات |
۳۸,۰۱۳,۱۴۰ |
| شاکرین |
مستقیم |
۴ اسب |
۳ کیلووات |
۵۴,۷۳۳,۱۴۰ |
| شریف |
هلیکال مستقیم |
۵.۵ اسب |
۴ کیلووات |
۵۱,۰۷۴,۲۱۰ |
| شاکرین |
مستقیم |
۵.۵ اسب |
۴ کیلووات |
۷۵,۰۲۴,۲۱۰ |
| شریف |
هلیکال مستقیم |
۷.۵ اسب |
۵.۵ کیلووات |
۶۴,۷۴۳,۸۵۵ |
| شاکرین |
مستقیم |
۷.۵ اسب |
۵.۵ کیلووات |
۸۸,۶۹۳,۸۵۵ |
| شریف |
هلیکال مستقیم |
۱۰ اسب |
۷.۵ کیلووات |
۸۲,۷۹۵,۵۱۵ |
| شاکرین |
مستقیم |
۱۰ اسب |
۷.۵ کیلووات |
۱۲۶,۷۷۵,۵۱۵ |
| شاکرین |
مستقیم |
۱۵ اسب |
۱۱ کیلووات |
۱۴۶,۲۱۶,۶۹۵ |
| شریف |
هلیکال مستقیم |
۲۰ اسب |
۱۵ کیلووات |
۱۳۲,۶۵۵,۹۳۰ |
| شاکرین |
مستقیم |
۲۰ اسب |
۱۵ کیلووات |
۲۴۵,۹۵۵,۹۳۰ |
| شریف |
هلیکال مستقیم |
۲۵ اسب |
۱۸.۵ کیلووات |
۲۰۷,۵۷۰,۰۰۰ |
| شاکرین |
مستقیم |
۲۵ اسب |
۱۸.۵ کیلووات |
۲۹۹,۰۹۰,۰۰۰ |
فروشگاه اینترنتی کالا صنعتی با داشتن نمایندگی فروش و نیز عاملیت فروش انواع دینام گیربکس دار، این تجهیزات را با قیمتی رقابتی و در سریعترین زمان، عرضه میکند. علاوه بر این مشتریان گرامی این امکان را دارند که الکتروموتور و گیربکس با مشخصات مورد نظر خود را به کارشناسان کالاصنعتی سفارش دهند و موتور گیربکس کوپل شده را دریافت کنند.
قیمت موتور گیربکس؛ از استعلام تا خرید بهینه
ما در کالا صنعتی میدانیم که زمان در پروژههای صنعتی ارزشمندترین دارایی است؛ به همین دلیل، فرآیند استعلام قیمت و خرید موتور گیربکس را برای شما ساده و شفاف کردهایم. میتوانید با استفاده از فیلترهای هوشمند در کنار محصولات، بهسرعت محصول مورد نظر خود را بر اساس توان، دور خروجی یا برند پیدا کنید. برای استعلام قیمت رقابتی و بهروز محصولات که در بازه 10,000,000 تا 100,000,000 تومان قرار دارند، کافی است از طریق فرم استعلام قیمت اقدام کنید یا بهراحتی با کارشناسان مجرب ما تماس بگیرید. کارشناسان ما که تخصص لازم در زمینه انواع گیربکس صنعتی را دارند، در هر مرحله از انتخاب تا ارسال، در کنار شما خواهند بود تا خریدی بهینه و با بهترین تخفیف ویژه را تجربه کنید. همین حالا برای استعلام قیمت، با ما تماس بگیرید و از پشتیبانی فنی ما بهرهمند شوید!
شرایط خرید اقساطی موتور گیربکس در کالا صنعتی
ما در کالا صنعتی به خوبی از دغدغههای مالی شما در تأمین تجهیزات گرانقیمت صنعتی، مانند موتور گیربکسهای با توان بالا، آگاه هستیم. برای تسهیل در این امر، امکان خرید اقساطی موتور گیربکس را با شرایطی آسان برای شما فراهم کردهایم تا بدون فشار مالی، بتوانید پروژههای خود را پیش ببرید. اگر به دنبال روشی مطمئن برای مدیریت هزینههای خرید خود هستید، نیازی به نگرانی نیست. برای اطلاع از جزئیات کامل و شرایط خرید قسطی موتور گیربکس، به صفحه مربوط به شرایط خرید اقساطی ما مراجعه کنید و آسودهخاطر خرید کنید.
راهنمای خرید موتور گیربکس؛ انتخابی هوشمندانه برای نیروی محرکه شما
انتخاب و خرید یک موتور گیربکس مناسب، نقشی حیاتی در کارایی، طول عمر و بهینگی مصرف انرژی سیستم شما ایفا میکند. یک انتخاب اشتباه میتواند منجر به توقف خط تولید یا تحمیل هزینههای گزاف تعمیر و نگهداری شود. هنگام انتخاب، باید پارامترهای فنی کلیدی را در نظر بگیرید. عواملی نظیر توان مورد نیاز (بر حسب کیلووات یا اسب بخار)، دور موتور (rpm) که معمولاً ۱۰۰۰، ۱۵۰۰ یا ۳۰۰۰ است، و مهمتر از همه، تک فاز و ۳ فاز بودن موتور باید با منبع تغذیه و نوع کاربری شما مطابقت داشته باشد. همچنین، میزان گشتاور خروجی و نسبت تبدیل گیربکس نیز برای تطبیق با نیاز نهایی شما (مانند نوار نقاله، میکسر یا پمپ) ضروری است. برای انتخابی مطمئن و دریافت اطلاعات فنی دقیقتر، از مشاوره رایگان کارشناسان ما استفاده کنید!
عوامل مؤثر بر قیمت موتور گیربکس
قیمت نهایی یک موتور گیربکس به عوامل فنی متعددی بستگی دارد که درک آنها به شما در مدیریت بودجه کمک میکند. یکی از مهمترین عوامل، جنس بدنه گیربکس است؛ برای مثال، گیربکسهای با پوسته چدن معمولاً مقاومت بیشتری در برابر تنشهای سنگین صنعتی دارند، در حالی که مدلهای با پوسته استیل برای محیطهای بهداشتی (مانند صنایع غذایی و دارویی) مناسبتر هستند و طبعا قیمت بالاتری دارند. همچنین، برند محصول نیز تأثیرگذار است؛ برندهای معتبر خارجی اغلب قیمت بالاتری نسبت به تولیدات داخلی دارند، اما ضمانت کیفیت متفاوتی را ارائه میدهند. نوع کاربری (خانگی، کارگاهی یا صنعتی سنگین) و همچنین میزان گارانتی و سرویس پشتیبانی پس از خرید کالا صنعتی نیز از جمله مواردی هستند که در تعیین قیمت نهایی نقش دارند.
استعلام قیمت آنلاین و بهروز در کالا صنعتی
در بازار پر نوسان تجهیزات صنعتی، ما در کالا صنعتی دغدغه شما را در مورد تفاوت قیمتها و سردرگمی ناشی از آن کاملاً درک میکنیم و به این نگرانی شما احترام میگذاریم. متعهد هستیم که با حذف واسطههای غیرضروری، مناسبترین و رقابتیترین قیمت موتور گیربکس را در ایران به شما ارائه دهیم. ما این اطمینان را به شما میدهیم که میتوانید به سرعت و به صورت لحظهای قیمتهایی که در سایت قرار داده شدهاند را مشاهده کنید. این قیمتها به صورت مداوم بهروزرسانی شده و با هدف ارائه قیمتی رقابتی در بازار، در دسترس شما قرار میگیرند.
اما میدانیم که به دلیل سیاستهای خاص قیمتگذاری تولیدکنندگان و نوسانات سریع ارز (مانند دلار)، امکان قرار دادن قیمت قطعی برای برخی از مدلهای خاص موتور گیربکس در سایت وجود ندارد. این موضوع صرفاً برای حفظ قیمت نهایی بهنفع شما و جلوگیری از خطای محاسباتی است. در چنین مواردی، دغدغه شما را درک میکنیم و به شما اطمینان میدهیم که با یک تماس ساده، میتوانید قیمت دقیق و لحظهای را از کارشناسان ما دریافت کنید. کافیست با ما تماس بگیرید تا در کمترین زمان، استعلام قیمت دقیق را در اختیار شما قرار دهیم.
چرا برای خرید موتور گیربکس به کالا صنعتی اعتماد کنیم؟
ما در کالا صنعتی میدانیم که خرید آنلاین تجهیزات صنعتی گرانقیمت، دغدغههایی جدی را برای مشتریان به همراه دارد؛ به این نگرانیها کاملاً حق میدهیم. برای رفع دغدغه شما و ایجاد یک تجربه خرید مطمئن، مزایای رقابتی خود را به شرح زیر ارائه میکنیم:
- ضمانت اصالت و سلامت کالا: ما تضمین میکنیم که تمامی موتور گیربکسهای عرضهشده، کاملاً اصل بوده و با گارانتی معتبر و خدمات پس از فروش شرکت تولیدکننده یا واردکننده ارائه میشوند.
- مشاوره تخصصی و رایگان: تیم فنی و مهندسی ما، متخصص در حوزه مشاوره فنی خرید موتور گیربکس، آماده است تا به صورت رایگان به تمامی سؤالات تخصصی شما پاسخ دهد و در انتخاب بهینه، شما را یاری کند.
- تنوع در برند و مدل: برای تضمین حق انتخاب شما، مجموعهای گسترده از برندهای معتبر داخلی و خارجی را در دستهبندی انواع گیربکس صنعتی فراهم کردهایم.
- ارسال سریع و مطمئن: دغدغه شما برای دریافت بهموقع کالا را درک میکنیم. فرآیند ارسال سریع و مطمئن ما، تضمین میکند که تجهیزات خریداری شده در کوتاهترین زمان ممکن و با بستهبندی ایمن به دست شما برسد.
خرید امن و مطمئن موتور گیربکس در کالا صنعتی؛ از انتخاب تا تحویل
ما در کالا صنعتی تلاش کردهایم تا پروسه خرید موتور گیربکس برای شما تا حد امکان ساده، شفاف و امن باشد. فرآیند خرید شما از لحظه نیازسنجی آغاز میشود و ما با مشاوره فنی خرید موتور گیربکس به شما کمک میکنیم تا با در نظر گرفتن مشخصات فنی موتور الکتریکی و نوع نیازتان، بهترین گزینه را انتخاب کنید. پس از انتخاب، میتوانید با اطمینان از امنیت درگاه پرداخت، سفارش خود را نهایی کنید. فرآیند ارسال کالا بلافاصله آغاز شده و با تأکید بر ارسال فوری و پیگیری دقیق، محصول شما را در سریعترین زمان ممکن به محل پروژه ارسال میکنیم. حتی پس از تحویل، تیم پشتیبانی ما برای هرگونه سؤال در زمینه نصب یا تعمیرات موتور گیربکس در کنار شما خواهد بود. ما تا آخرین لحظه تحویل و راهاندازی، مسئولیت خرید شما را بر عهده میگیریم.
مشخصات فنی دینام گیربکس دار
برای آنکه موتور گیربکسی که انتخاب میکنیم با کاربرد مورد نظرمان مطابقت داشته باشد، بایستی مشخصات فنی آن را بررسی کنیم. مشخصات فنی الکتروموتور گیربکس دار روی پلاک آن درج شده است.
| مشخصات فنی الکتروگیربکس |
| برند سازنده |
تیپ گیربکس |
سری گیربکس |
| قطر شافت خروجی (mm) |
توان ورودی گیربکس (KW یا HP) |
گشتاور خروجی گیربکس (Nm) |
| جنس پوسته |
جنس دنده |
ابعاد |
انواع الکتروموتور گیربکسی (از لحاظ نوع موتور)
دینام گیربکس دار را از نظر نوع الکتروموتوری که در آن استفاده میشود، میتوان به دو دسته AC و DC تقسیم کرد:
الکتروگیربکس AC (جریان متناوب)
در بیشتر موارد، الکتروموتورهایی که برای موتور گیربکس استفاده میشوند از نوع موتورهای القایی (آسنکرون) هستند. در الکتروگیربکس AC بسته به نوع کاربرد، از هر دو نوع الکتروموتور تک فاز و سه فاز استفاده میشود. برای کاربردهای سبکتر (خانگی، تجاری یا صنعتی) مانند پمپ، کمپرسور، سیستم تهویه مطبوع و اره نواری میتوان از یک موتور گیربکس تک فاز کوچک استفاده کرد. از موتور گیربکس سه فاز نیز در کاربردهای صنعتی سنگینتر که نیاز به توان و گشتاور بیشتری دارند استفاده میشود، مانند ماشین آلات صنعتی سنگین تصفیه خانهها، فنها و دمندههای صنعتی و آسانسورها.

الکتروگیربکس DC (جریان مستقیم)
از آنجا که موتورهای DC سرعت و گشتاور دقیق و قابل تنظیمی را تولید میکنند، برای کاربردهایی که نیاز به تغییر سرعت مداوم دارند مناسباند. بنابراین از موتورگیربکس DC در صنایع حساس مانند اتوماسیون صنعتی، ماشینآلات دقیق، رباتیک، خودروهای برقی و تجهیزات پزشکی استفاده میشود.
انواع الکتروموتور گیربکس دار (از لحاظ نوع گیربکس)
اما در یک دستهبندی دیگر و از لحاظ نوع گیربکس صنعتی به کار رفته در دینام گیربکس دار، انواع زیر را خواهیم داشت:
- موتورگیربکس حلزونی
- الکترو گیربکس هلیکال
- موتور گیربکس سایکلو
- الکتروگیربکس خورشیدی
موتور گیربکس حلزونی
در موتورگیربکس حلزونی، موتور فلنجدار به واسطه فلنج، به گیربکس هالوشفت کوپل میشود. انتخاب الکتروموتور مناسب برای یک گیربکس حلزونی نیازمند دانش فنی و محاسبات توان، سرعت، گشتاور و بررسی ابعاد هر دو دستگاه است؛ به همین علت، برخی خرید موتور گیربکس حلزونی سر هم شده را به خرید جداگانه این دو دستگاه ترجیح میدهند. در صورتی که تمایل به خرید جداگانه این دو تجهیز دارید، بهتر است به علت تنوع بالا در نوع فلنج و فریم ورودی گیربکس حلزونی، خرید موتور و گیربکس حلزونی را از یک مجموعه انجام دهید تا مشکلات بعدی پدید نیاید.

موتورگیربکس هلیکال
انواع الکتروگیربکس هلیکال در 3 دسته زیر تولید میشود:
- الکتروگیربکس هلیکال شفت مستقیم
- الکتروگیربکس بول هلیکال
- الکتروگیربکس هلیکال آویز

موتور گیربکس خورشیدی
با توجه به اینکه در حال حاضر از الکتروگیربکس خورشیدی در صنعت به ندرت استفاده میشود، در بیشتر موارد از یک موتور فلنجدار و یک گیربکس هالوشفت که به واسطه فلنج، کوپل میشوند استفاده میشود. این کار باعث میشود تا هم از افت راندمان در اثر کوپلینگ تسمه و پولی و هم از هزینههای تعمیر و نگهداری الکتروگیربکس جلوگیری شود.

موتورگیربکس سیکلوئیدی
گیربکس سیکلوئیدی یا سایکلو ساختار منحصر به فردی دارد و بر خلاف سایر گیربکسها از چرخ دنده برای کاهش سرعت یا افزایش گشتاور استفاده نمیکند. مهمترین ویژگیهای این گیربکس، شوکپذیری بسیار بالا، کمترین لقی یا Backlash در میان سایر گیربکسها، راندمان بالا و امکان دستیابی به گشتاور و کنترل دقیق سرعت میباشد.

در موتور گیربکس سایکلو نیز همین ویژگیها مشاهده میشود. از موتور گیربکس سایکلو رباتیک، اتوماسیون صنعتی، دستگاههای پزشکی، ماشین آلات، نوار نقاله و فرایندهای مواد غذایی استفاده میشود.
چگونه موتور گیربکس مناسب را بر اساس توان و سرعت انتخاب کنیم؟
چنانچه برای یک کاربرد خاص نیازمند یک الکتروموتور گیربکس دار مناسب باشیم، بایستی چند نکته را رعایت کنیم:
- در ابتدا بایستی نوع کاربری مشخص شود. برای کاربردهای سبکتر میتوان گیربکس حلزونی را انتخاب کرد اما برای کاربریهای سنگینتر بایستی سراغ گیربکسهای هلیکال، خورشیدی و صنعتی برویم.
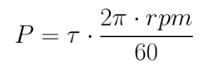
- در مرحله بعدی باید دور خروجی مد نظر (rpm) و گشتاور مورد نیاز (𝒯) را تعیین و بر اساس آن توان خروجی موتور (P) را محاسبه کنیم. رابطه این دو به این صورت است:

- اکنون که تیپ گیربکس و توان و گشتاور الکتروموتور را تعیین کردیم به کاتالوگهای فنی گیربکس مراجعه و بر اساس اطلاعات به دست آمده، سایز آن را مشخص میکنیم.
قیمت دینام گیربکس دار سه فاز و تک فاز کوچک و بزرگ
قیمت موتور گیربکس یکی از مهمترین عوامل تاثیرگذار در انتخاب و خرید این تجهیز صنعتی به شمار میرود. البته خود این قیمت هم به عوامل دیگری بستگی دارد که در ادامه به آن اشاره میکنیم:
- برند الکتروموتور
- نوع گیربکس به کار رفته
- برند گیربکس
- کیفیت ساخت
- ابعاد
بدیهی است که انواع گیربکس صنعتی سنگین، قیمت بالاتری نسبت به گیربکس صنعتی سبک دارند. همچنین محصولات برندهای معتبر تولیدکننده گیربکس که اغلب شامل تولیدکنندگان گیربکس اروپایی می شود، قیمت بیشتری نسبت به گیربکس چینی یا ایرانی دارند. قیمت گیربکس صنعتی برحسب نوع دندههای آن نیز تغییر میکند. گیربکسهای هلیکال و خورشیدی راندمان بالاتری نسبت به گیربکس حلزونی دارند، بنابراین قیمت این گیربکسها نیز بیشتر خواهد بود. در مورد قیمت الکتروموتور هم پارامترهای مختلفی مانند توان، دور و ولتاژ ورودی تاثیرگذارند.
با توجه به تنوع بالا، پیشنهاد میشود برای استعلام قیمت موتور گیربکس تک فاز و سه فاز، کوچک و بزرگ، با کارشناسان فروش کالاصنعتی در ارتباط باشید.
پارامترهای مهم خرید موتور گیربکس دار صنعتی
چنانچه تصمیم به خرید الکتروموتور گیربکس دار صنعتی دارید، حتما نکات زیر را مد نظر داشته باشید:
- قدرت و گشتاور: اطمینان حاصل کنید که موتور انتخابی شما توانایی تأمین نیازهای بار و گشتاور مورد نظر را دارد.
- نوع گیربکس: نوع گیربکس بر عملکرد و کارایی موتور تأثیرگذار است. به همین دلیل انتخاب نوع مناسب گیربکس بسیار مهم است.
- سرعت: توجه به سرعت مورد نیاز برای عملکرد بهینه سیستم شما نیز بسیار ضروری است.
- کیفیت و برند: انتخاب برندهای معتبر و باکیفیت میتواند به افزایش عمر و کارایی محصول کمک کند.
- محیط کاری: شرایط و محیطی که قرار است تجهیز در آن کار کند نیز اهمیت بالایی دارد. در شرایط خاص آب و هوایی و محیطی، از یک الکتروموتور گیربکسدار مناسب استفاده کرد.
خرید دینام گیربکس دار به تجربه و دانش فنی نیاز دارد. چنانچه در این رابطه به مشاوره نیاز دارید میتوانید با شماره تلفن 02191304300 با کارشناسان باتجربه کالا صنعتی تماس بگیرید.
مزایا و معایب دینام گیربکس دار
از جمله مزایای موتور گیربکس میتوان به موارد زیر اشاره نمود:
- الکتروگیربکسها نیازی به تراز کردن و کوپلینگ ندارند؛ در نتیجه تلفات انرژی در این مراحل حذف و از خرابی بلبرینگها و موتور جلوگیری میشود. همچنین به دلیل طراحی بهینهتر چرخدندهها در دینام گیربکس دار، انتقال گشتاور و دور با راندمان بالاتری انجام میگیرد.
- در حالت عادی انتخاب موتور و گیربکس متناسب، نیاز به صرف وقت و بررسی مشخصات فنی زیادی دارد؛ اما الکتروگیربکسها تطبیقپذیری بالایی دارند و با اطمینان خاطر بیشتری میتوان از آنها استفاده کرد.
- موتور گیربکسها عمر مفید طولانیتری داشته و میزان خرابی آنها کمتر است.
با این حال این تجهیزات معایبی نیز دارند که بایستی در انتخاب، لحاظ شوند:
- تعمیر و نگهداری سختتر: موتور گیربکسها از چرخدندهها و واسطههای خاصی استفاده میکنند؛ به همین علت تعمیر و نگهداری آنها تا حدی پیچیدهتر و سختتر از دستگاههای مشابه است.
- طراحی پیچیدهتر: به دلیل طراحی پیچیدهتر الکتروگیربکس ها، عیبیابی آنها نیز دشوارتر است.
نحوه نصب الکتروموتور گیربکس دار
موتورگیربکسها در انواع مختلفی تولید میشوند و هر یک ویژگیهای منحصر به فردی دارند. در ادامه با نحوه قرارگیری موتور گیربکس آشنا میشویم.
- موقعیت نصب موتورگیربکس: یک الکتروگیربکس با توجه به نوع خروجی میتواند در 6 حالت مختلف نصب شود. موقعیت نصب الکتروگیربکس را در تصویر زیر مشاهده میکنید. بر اساس موقعیت نصب موتورگیربکس، باید موقعیت ترمینال موتور، موقعیت نصب کابلهای منبع تغذیه به ترمینال الکتروموتور و موقعیت سوپاپ روغن گیربکس نیز مشخص شود.

- موقعیت ترمینال موتورگیربکس: ترمینال موتور گیربکس در موقعیتهای مختلفی روی الکتروموتور نصب میشود. موقعیت ترمینال باید بر اساس وضعیت و موقعیت نصب موتورگیربکس انتخاب شود.

- موقعیت نصب کابلهای منبع تغذیه به ترمینال الکتروگیربکس: جهت ورودی کابلهای فاز به ترمینال موتور گیربکس در چهار حالت مختلف طراحی میشود؛ با توجه به وضعیت نصب موتور گیربکس و سایر تجهیزات باید موقعیت نصب کابلها را نیز بهدرستی انتخاب نمایید.

بهترین برندهای الکتروموتور گیربکس دار
در انتها به برخی از بهترین برندهای سازنده دینام گیربکس دار که توانستهاند سهم خوبی از بازار را کسب کنند، میپردازیم.
- الکتروگیربکس SEW
- موتور گیربکس SITI ایتالیا
- الکتروموتور گیربکس دار ایلماز ترکیه
- گیربکس شریف
- موتور گیربکس پارس گرجی
- الکتروموتور گیربکس دار شاکرین
- الکتروگیربکس پولادین پارت

هر کدام از این برندها ممکن است انواع الکتروموتور گیربکس دار صنعتی را انواع حلزونی، تیپهای مختلف هلیکال، خورشیدی و صنعتی تولید کنند. برای اطلاع از محصولات مختلف برندهای تولید کننده موتور گیربکس، با کارشناسان ما تماس بگیرید.
الکتروموتور گیربکس دار موتوژن
موتوژن تبریز یکی از برندهای شناخته شده موتورهای الکتریکی ایرانی است؛ با توجه به کیفیت بالا و قیمت مناسب این موتورها، افراد و صنعتگران زیادی ترجیح میدهند از الکتروموتور گیربکس دار موتوژن برای کاربردهای خود استفاده نمایند.
تمامی گیربکسهای معرفی شده در قسمت قبلی را میتوانید در وبسایت کالا صنعتی با الکتروموتور موتوژن سفارش دهید. برای آگاهی بیشتر در زمینه محاسبات انتخاب موتور و گیربکس مناسب و اطلاع از قیمت الکتروموتور گیربکس دار موتوژن با کارشناسان کالا صنعتی در ارتباط باشید.
اگر به دنبال راهحلی قدرتمند برای افزایش کارایی سیستمهای صنعتی خود هستید، برای دریافت قیمت و خرید گیربکس حلزونی با بهترین شرایط و مشاوره تخصصی، همین حالا با ما تماس بگیرید و تجربهای متفاوت از بهرهوری بالا را آغاز کنید.